四川
>
滚动新闻
> 正文
四川省2023年普通高等学校艺术体育类专业招生艺术类本科第一批、体育类本科批调档线出炉
2023-07-21 18:58:17
来源:
四川省教育考试院
编辑:牛霄
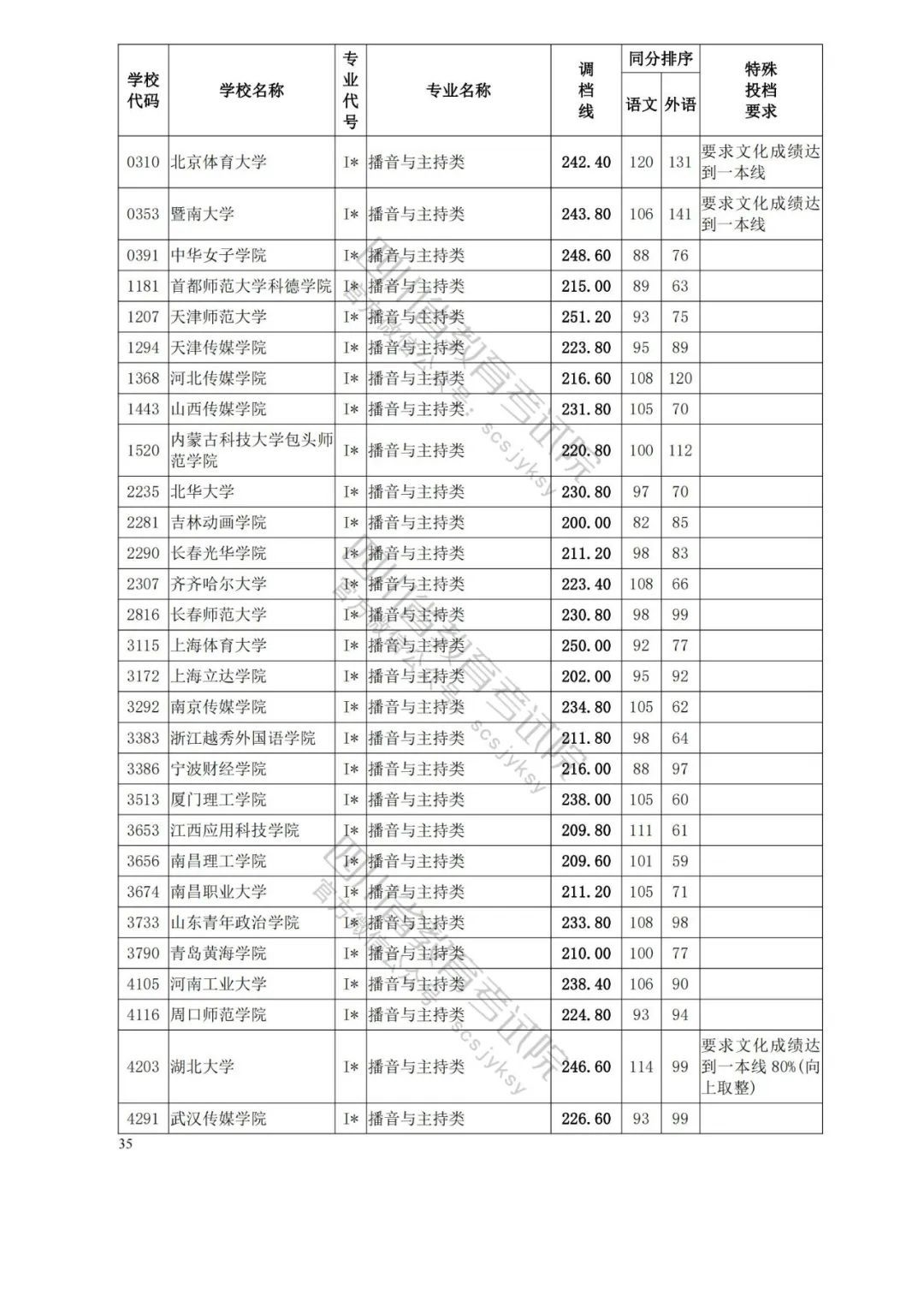
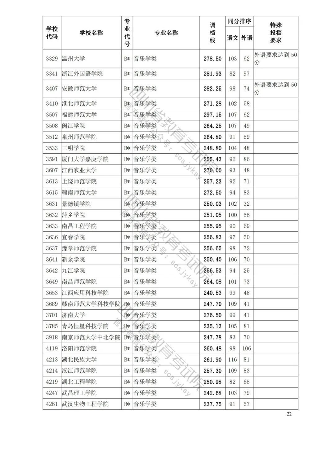
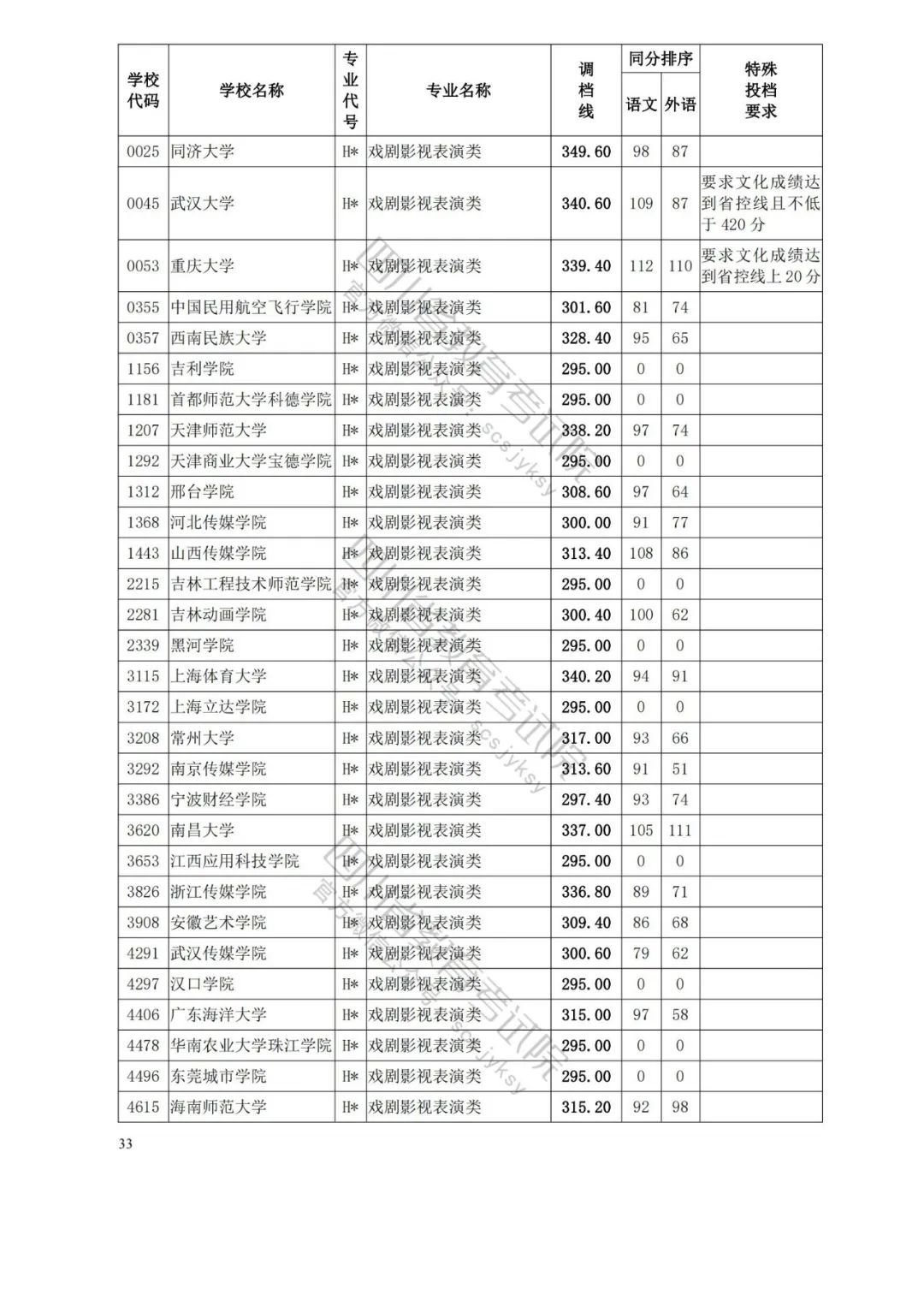
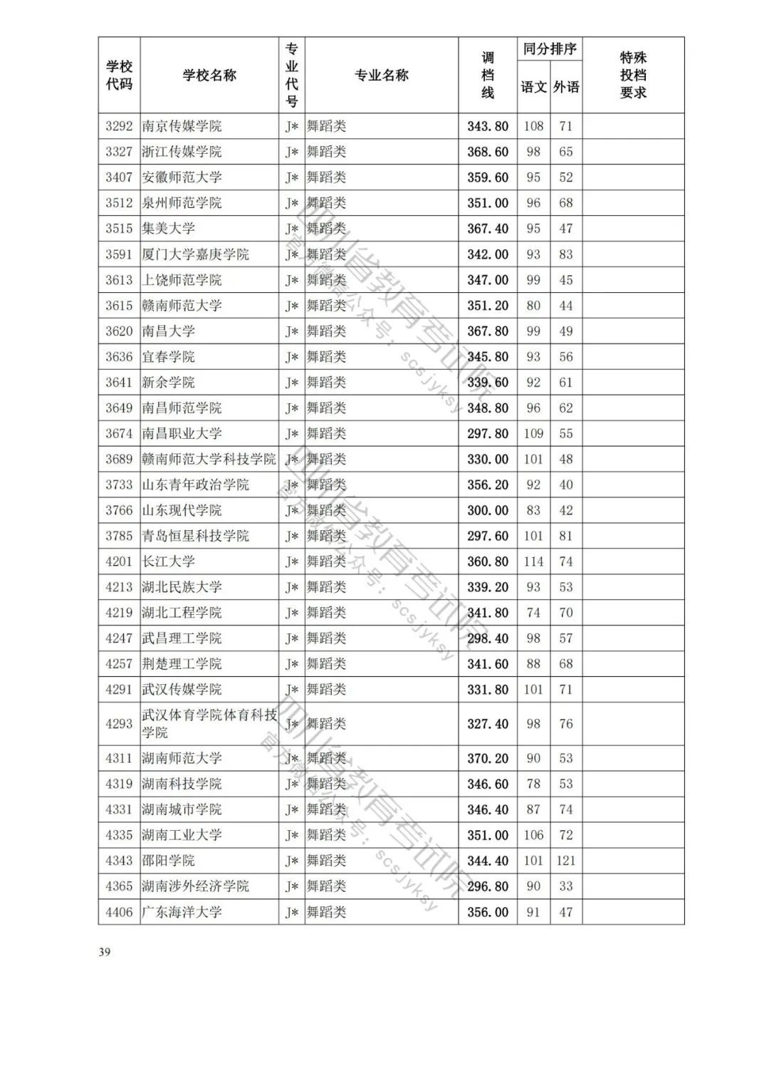
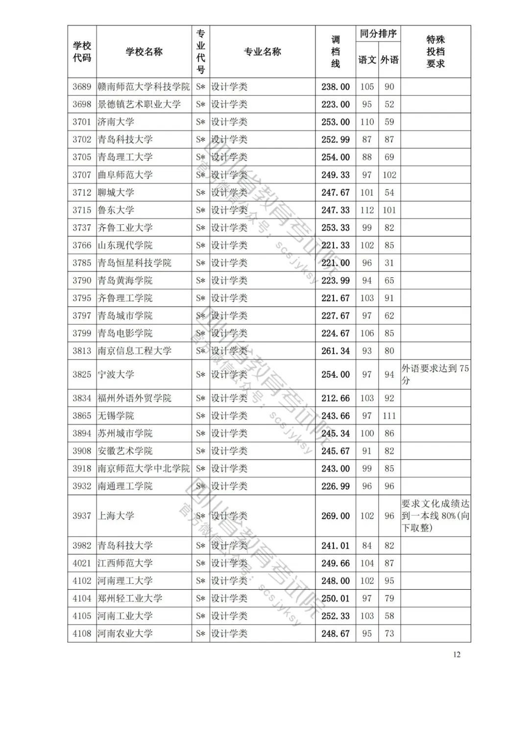
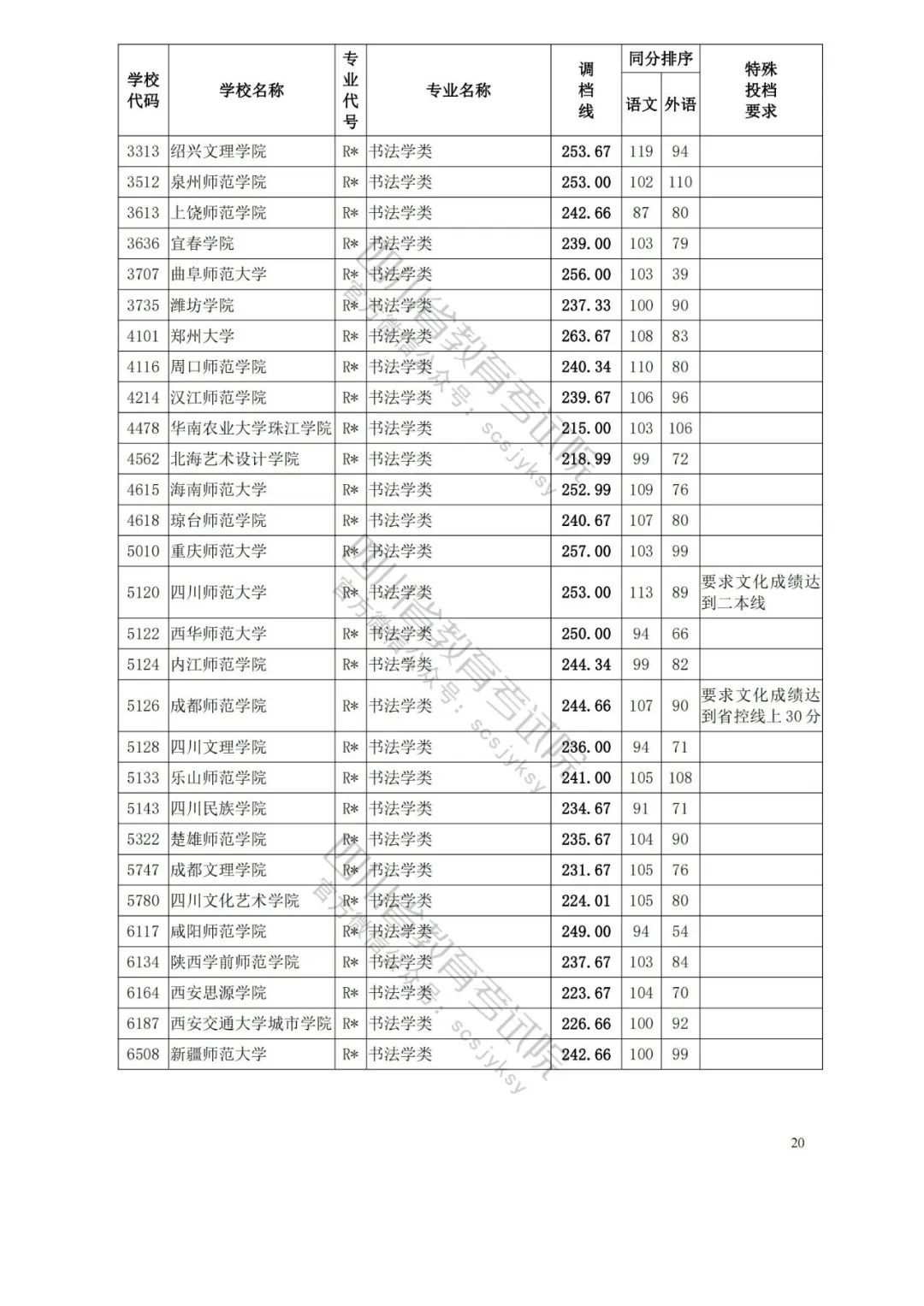
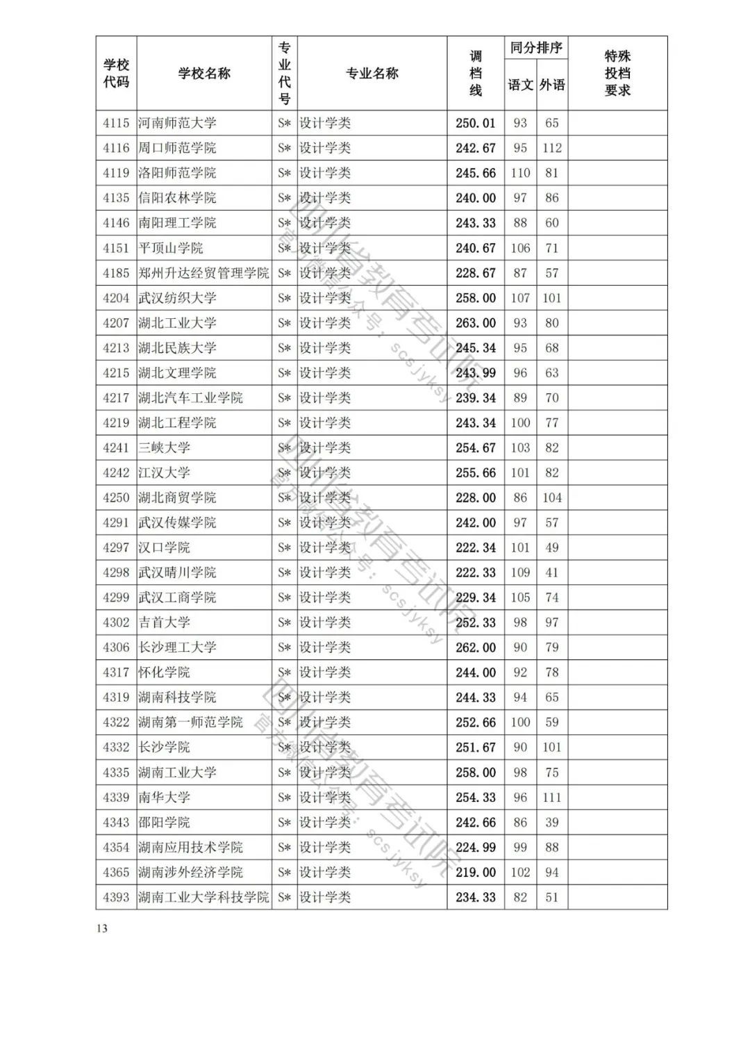
我省2023年普通高校招生艺术类本科第一批、体育类本科批已于7月21日开始录取。为方便广大考生和家长及时获悉录取信息,省教育考试院按非编导类和编导类发布了艺体类分学校、分专业类调档线。
编辑推荐
视觉焦点
视频丨十年间 火箭军武器装备实现跨越式发展
一根根手工面条,竟藏着东方美学的小浪漫丨灵感中国Inspiration
雅安:神奇中医在“出海”丨灵感中国Inspiration
冬至来临 羊肉飘香成都小关庙羊肉汤一条街备桌备菜迎客流
真火了!老外都来打卡“凉山汉堡”丨灵感中国Inspiration
排行榜